Backcountry Pilot • Stinson Patroller Doors (and other awesome mods?)

Stinson Patroller Doors (and other awesome mods?)

Have you modified your aircraft? STC? STOL Kit? Major rebuild from just a data plate?
6 postsPage 1 of 1

Stinson Patroller Doors (and other awesome mods?)

I've recently fallen in to a bit of good fortune. My good friend and IA, after spending some quality time with my Stinson, got the bug and procured a ramp mummy Stinson of his own. Since it's pretty well a basket case, the plan is to tear it all the way down and do all the good mods while building it back up.

Here's where it gets good for me. While I'm lending him a hand pimping out his Stinson, I'll be able to do a select few of these mods to my plane alongside him. :lol: as well as get a really good look at how my airplane is put together.

The first upgrade we're focusing on is the creation of patroller doors which is by many accounts highly beneficial as well as being pretty straight forward to complete.

The interweb is replete with pictures of 108's with patroller doors --from the outside. What I'm having a bit of trouble with is finding good detailed drawings or photos from the inside of the door to show some of the finer details of the process. After some digging I did come up with an example 337 from Alan Barnard's plane but I couldn't find any supporting drawing.

Do any of you guys or gals have detailed drawings/pics/337's that you wouldn't mind sharing?

Lastly, what other mods should be at the top of the list to get the most out of this already great airplane?

SD
Straydog offline
User avatar
Posts: 154
Joined: Thu Aug 30, 2012 12:23 pm
Location: Inchelium
FindMeSpot URL: https://maps.findmespot.com/s/6KPK
Aircraft: Stinson 108-1/220

Re: Stinson Patroller Doors (and other awesome mods?)

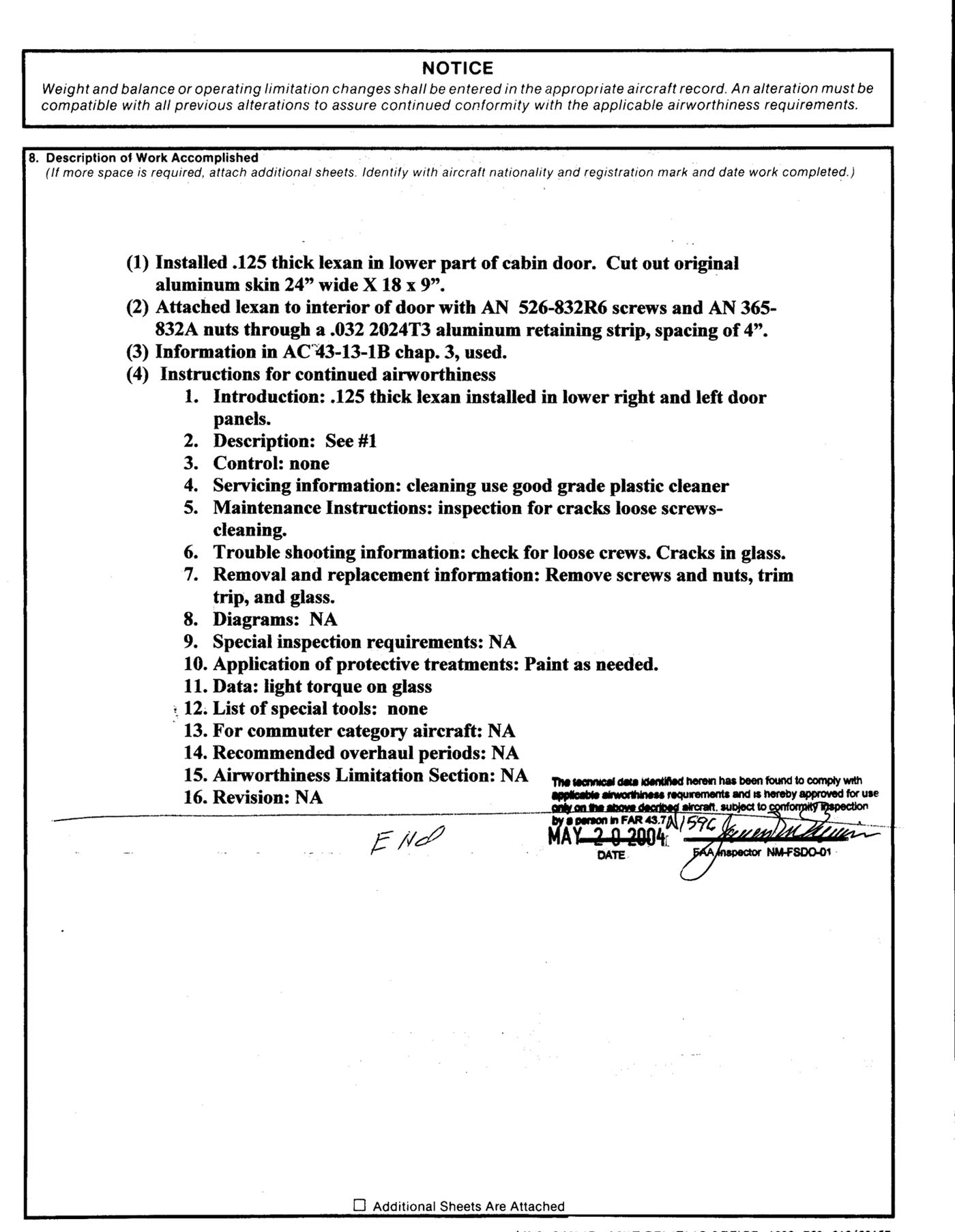
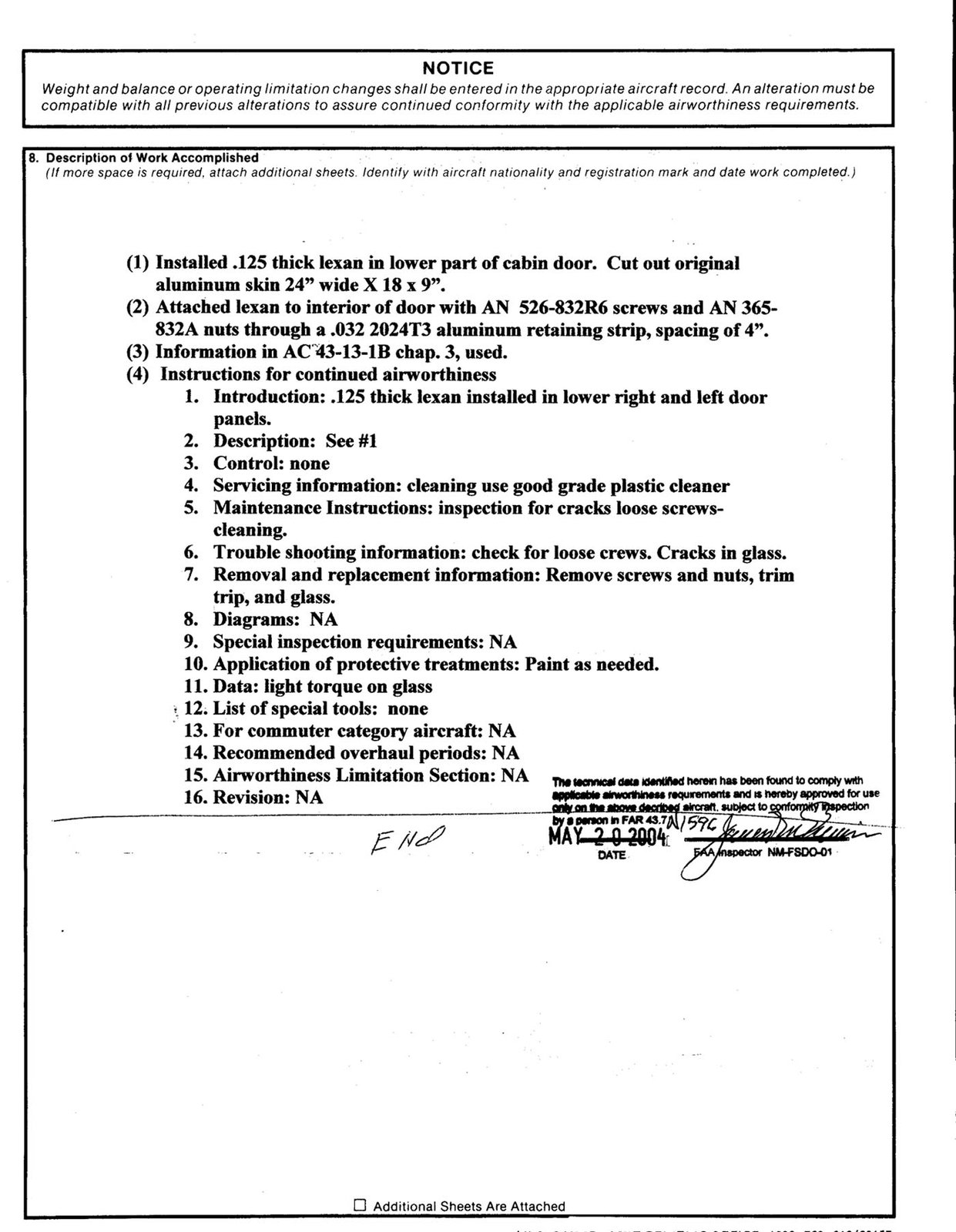
The 337 has some measurements on it. Attached page 2 of the 337 and some photos from the inside. If you need more I can take some pics and stuff from my doors. I've only had the holes cut out so far, haven't done the lexan or any drilling yet.
pg 2.jpg
PICT0011_resize.JPG
PICT0011_resize.JPG (217.43 KiB) Viewed 3270 times
PICT0013_resize.JPG
PICT0013_resize.JPG (131.2 KiB) Viewed 3270 times
Tadpole offline
User avatar
Posts: 1736
Joined: Sun Sep 21, 2008 10:10 am
Location: Indiana

Re: Stinson Patroller Doors (and other awesome mods?)

Hey thanks Jason. That’s exactly what I was looking for. Sadly it illuminates the fact all Stinson 108 doors are NOT created equal. Seems that the doors like you have and the ones in the pics above didn’t show up until serial no. 108-1990. The earlier doors like mine weren’t reinforced in the same manner thus not nearly as straight forward to cut window holes in. Sooooo I guess my options are to procure $ome later model doors or figure out how to reinforce mine

Anybody seen it done on an early model?

Thanks again for the reply Tadpole!
SD
Straydog offline
User avatar
Posts: 154
Joined: Thu Aug 30, 2012 12:23 pm
Location: Inchelium
FindMeSpot URL: https://maps.findmespot.com/s/6KPK
Aircraft: Stinson 108-1/220

Re: Stinson Patroller Doors (and other awesome mods?)

Sure thing man. I haven't seen it done on earlier doors, don't see them much. I almost picked up a set of -3 doors to mod and put on mine, but decided against it...even though I have some extra doors, but not any 'sets' haha.
Tadpole offline
User avatar
Posts: 1736
Joined: Sun Sep 21, 2008 10:10 am
Location: Indiana

Re: Stinson Patroller Doors (and other awesome mods?)

SD,

Looks like you have a great airplane.. I just sold my 108-3 with O-470 STC and I miss it already but could not justify keeping it and a 180. The only thing I did to mine was the large engine and tires and could not have been happier.

We had it on 8.50s for a recent trip to Utah but the new owner in AK has it on bushwheels and sent me a photo last week. Said he is seeing 125mph at 23/23.

They are great airplanes! A few photos attached.

Will
IMG_2436.JPG
Super Stinson 0-470 (1)
IMG_2431.JPG
Super Stinson 0-470 (2)
IMG_2430.JPG
Super Stinson 0-470 (3)
IMG_3059.jpeg
Utah 126
IMG_3059.jpeg (117.79 KiB) Viewed 3000 times
IMG_3345.jpg
Utah 231
IMG_5580.JPG
IMG_5580.JPG (101.54 KiB) Viewed 3000 times
Cwillfly offline
User avatar
Posts: 46
Joined: Thu Aug 23, 2018 6:39 pm
Location: Mooresville
Aircraft: 1979 Cessna 180K

Re: Stinson Patroller Doors (and other awesome mods?)

Stray Dog,

I think you be very happy with your Stinson. I have had a 108 w/0-360 and have a 108-2 with a 220 Franklin and a 108-3 with a 0-470. They are amazing airplanes and I am surprised they have not become more expensive to purchase. They are easy to fly and the landing characteristics are very docile. I always felt with a big motor it was like a four place super cub.

The big motor is the best mod. However when you have a big motor 40 or 50 gallons of fuel becomes limiting. I am not sure which motor I prefer at this point. The 108 w/0-360 I flew a lot on wheels and floats and was never disappointed and fuel burn could be from 8-5-10.5 per hour. On floats you needed to run at 2550 and that would run 10.5/hour. The 108 w/360 was under 1,400 empty.

108-3 w/0-470. Seems to be the beast of all of them, 50 gallons of fuel and higher useful load. As of now I have only flown it on floats (2425’s). It seems a little under floated at gross load. With the big motor running it heavy at 25”x2300 produced 100-103 knots cruise. I hope to fly it some more next week and will have a better idea on how it compared to the 108 w/0-360.

108-2 w/220 Franklin. This may be the best package yet. It is just going back together now so my flying was limited before starting the project. People claim the 220 has a fuel burn of 8.5-10.5 hr. But with the -2 you have 40 gallons of fuel.

Mods:

1. Big Motor
2. 8.50 Tires (they look very cool)
3. Opening side windows (a must)
4. Auxiliary fuel tank, 13 gallons in the baggage compartment.
5. Baggage compartment. If you don’t have it you can add it.
6. Fuel flow and totalizer, If you are going somewhere this makes life much less stressful.
7. Shoulder harnesses
8. Seat mod, if you are taller this is a must
9. Whelen LED strobes
10. Firewall battery (depends on which motor)

Good luck and enjoy!

Jim
Jimbo2601 offline
User avatar
Posts: 29
Joined: Mon Oct 24, 2011 8:25 pm
Location: Illinois

DISPLAY OPTIONS

6 postsPage 1 of 1

Who is online

Users browsing this forum: No registered users and 4 guests

Latest Features

Latest Knowledge Base