
- FD6C1046-7995-46A0-A603-D827D0B6FE43.jpeg (333.03 KiB) Viewed 1330 times
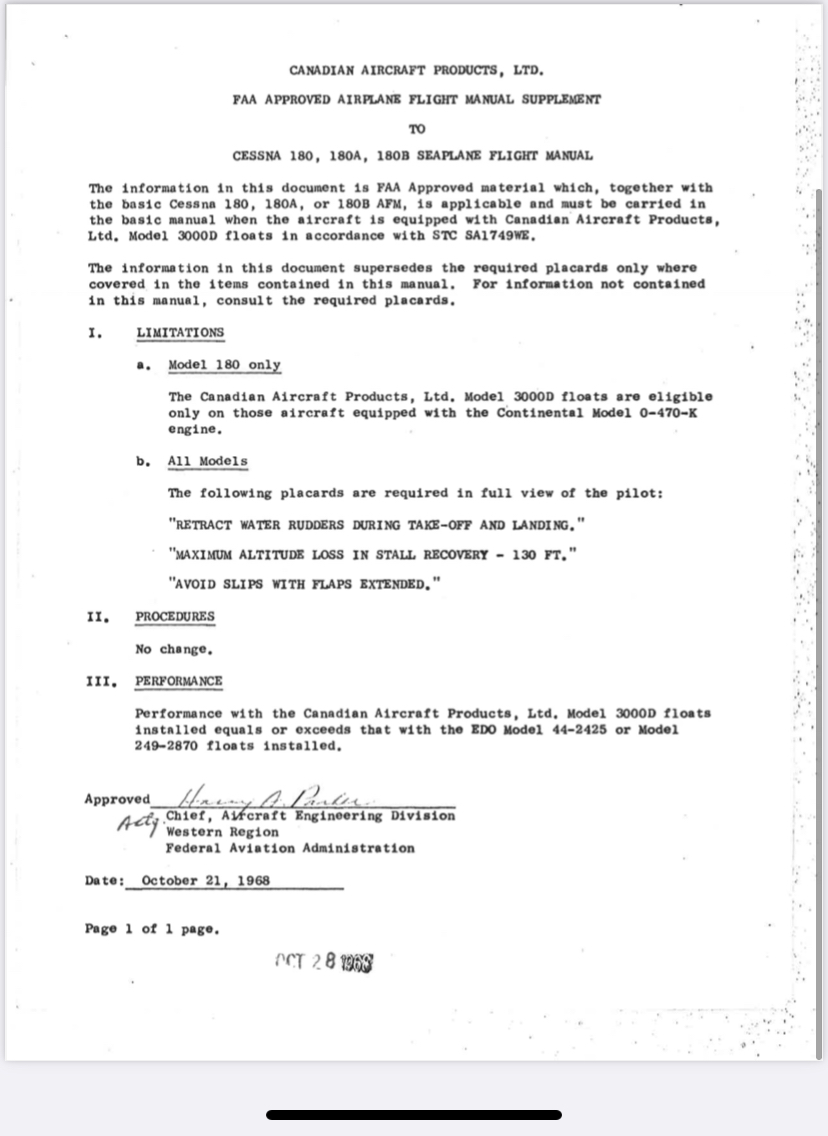
Looking for a copy of the cap 3000STC for my early model Cessna 180 with O470K with CAP3000D.
I’m getting hammered by the feds over this obscure piece of paper- FAA Flight supplement which goes with the STC.
Starting to wonder if the floats are useless with out this piece of paper, which likely says, “refer to Cessna POH Float supplement on EDO floats for performance and limitations”
I was given a flight supplement that mentioned the 470L which I don’t have installed as is no good for me.