mtv wrote:I live in Bozeman, MT, just north of Yellowstone. And, yes, the Yellowstone Plateau is pretty high. That said, the Park Service's 2000 foot SUGGESTION is NOT a regulation, but rather a "request". None of which matters much with reference to the carburetor in question.
I am NOT an expert on carburetors, but my former plane was a PA-11 with a C-90. It was equipped with a Marvel Schebler carburetor, with the mixture control functional. i had that plane as high as 14,500 ft (with a little assist from breezes) and never had any issues. On a trip home from Johnson Creek once, I flew next to a gent in another 11, same engine, but with the Stromberg carburetor.....no mixture control. We ran at about 9,500 msl enroute, and he didn't indicate any issues.
I can't speak for a 65, but the TCraft is a light fluff ball, so as long as you're patient, should work fine.
One way to tell: Get in your plane, and climb up to 9500 and see what happens. My guess is it'll run just fine. Could it be better with mixture? Maybe. I am a fan of Marvel carbs, vs Strombergs, but both been around forever.
MTV

whee wrote:... but it is remote so plan to freeze to death if you lose an engine or something.
anotherstevest wrote:… I assume by "no-mixture" carb you are talking about a Stromberg (sp?) wherein someone in it's past decided to just wire the mixture to full rich on the carb and remove the control from the cockpit. That is a common modification by those who don't know better (and spend all their time below 8000')….



anotherstevest wrote:.... I assume by "no-mixture" carb you are talking about a Stromberg (sp?) wherein someone in it's past decided to just wire the mixture to full rich on the carb and remove the control from the cockpit. That is a common modification by those who don't know better .....
Not exactly true, ...
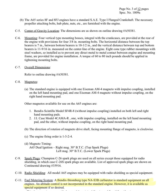
The NA-S3A1 was designated to be used with a mixture control...NA-S3B does NOT have a mixture control... There are very few model engines that the "B" carburetor is used on ...
anotherstevest wrote:Not exactly true, ...
No expert here but been flying and learning about t-carts since '86 and I'd not heard your view before.
A quick look at my A65/A75 overhaul manual Publication X30008 ©2011 CONTINENTAL MOTORS, INC. AUG 2011) and it only calls out the Stromberg NAS3A1 and that is the one with the mixture control. Out of curiosity I did some additional digging and found in the August 2019 "Coup Capers" an article titled, "Stromberg Carbs by the Numbers" and in it the following was stated:The NA-S3A1 was designated to be used with a mixture control...NA-S3B does NOT have a mixture control... There are very few model engines that the "B" carburetor is used on ...
This article (https://www.univair.com/content/strombe ... 5fWe1iIGRh) does have some nice additional info about Strombergs that might be of interest to folk.
So I'm gratified to learn that my original post wasn't completely ignorant. That said, I'm assuming there is also a basis for your view and I'm still learning...
NineThreeKilo wrote:anotherstevest wrote:Not exactly true, ...
No expert here but been flying and learning about t-carts since '86 and I'd not heard your view before.
Again many of these planes don’t even have the holes in the panel, firewall, etc for the mixture cable and controls in the first place
shorton wrote:Can anyone give me a rundown on just how the automatic mixture control referred to works?
NineThreeKilo wrote:
Not exactly true, you’d need to pull the TCDS on the plane and then the engine
Many/most A65 strombergs never had mixture control, frankly in some of these smaller engines it wouldn’t do too much anyways, my guess would be with a proper jetted, good needle seated, proper float measured non mixture A65 the plane is capable of reaching its advertised ceiling with a competent pilot
hardtailjohn wrote:NineThreeKilo wrote:
Not exactly true, you’d need to pull the TCDS on the plane and then the engine
Many/most A65 strombergs never had mixture control, frankly in some of these smaller engines it wouldn’t do too much anyways, my guess would be with a proper jetted, good needle seated, proper float measured non mixture A65 the plane is capable of reaching its advertised ceiling with a competent pilot
What type certificate are you using??? This sure isn't A-696, which covers most BC series..... this looks more like an aircraft spec sheet and not anything current, therefore not applicable to this at all.
John
Users browsing this forum: No registered users and 6 guests